Tài liệu hay
Phân tích CB-SEM trên AMOS
- Model fit và cách hiển thị nhanh giá trị của model fit ở góc màn hình
- Khái niệm biến tiềm ẩn
- Phân tích nhân tố khẳng định CFA
- Độ tin cậy của thang đo
- Tính hội tụ. Phân tích CFA đơn nhân tố
- Vẽ nhanh mô hình phân tích CFA từ pattern matrix
- Tính phân biệt
- Tính đơn nguyên (đơn chiều)
- Hiệu chỉnh mô hình CFA
- Đọc kết quả mô hình SEM
- Thực hành phân tích bài tập với mô hình SEM, ứng dụng làm luận văn cơ bản
- Kiểm định so sánh giá trị trung bình với SEM
- Phân tích đa nhóm, ứng dụng đánh giá tác động của biến điều tiết
- Xử lý biến điều tiết dạng liên tục
- Bootstrap mô hình SEM trên phần mềm AMOS
- Tác động trực tiếp, gián tiếp và tổng hợp
- Biến trung gian và đánh giá vai trò của biến trung gian trong SEM bằng phần mềm AMOS
- Plug in Validity and Reliability Test (bản amos 24 trở lên)
- Đa cộng tuyến trong SEM
- Biến tiềm ẩn bậc cao
Phân tích PLS SEM với Smart PLS
- Các thao tác cơ bản với Project trên Smart PLS
- Các thao tác cơ bản với dữ liệu trên Smart PLS
- Các thao tác cơ bản với mô hình trên Smart PLS
- Trích dẫn kết quả từ phần mềm vào bài làm
- Đánh giá mô hình đo lường kết quả trên SmartPLS
- Phân tích mô hình PLS-SEM trên SmartPLS
- Đọc thêm: Bootstrapping và các kết quả trên SmartPLS
- Hệ số tác động f2 (f Square) trên phần mềm SmartPLS
- Phép dò tìm (Blindfolding) và khả năng dự báo ngoài mẫu Q2
- Hệ số tác động năng lực dự đoán q2 (q Square)
- Tác động trực tiếp, gián tiếp và tổng hợp trên SmartPLS
- Đánh giá vai trò của biến trung gian trong PLS SEM bằng phần mềm SmartPLS
- So sánh trung bình 2 mẫu độc lập trên SmartPLS
- Xử lý biến điều tiết trên SmartPLS
- Phân tích đa nhóm và xử lý biến điều tiết phân loại trên SmartPLS
- Phân tích biến điều tiết liên tục trên SmartPLS
- Đánh giá mô hình đo lường nguyên nhân
- Xử lý mô hình có biến tiềm ẩn bậc cao
- Đọc thêm: Model Fit trên SmartPLS
- Đọc thêm: Hệ số GoF (goodness-of-fit index) của mô hình SEM
Phần thứ 1: Mô hình phương trình cấu trúc SEM là gì
- Giới thiệu tổng quan mô hình mạng (SEM – Structural Equation Modeling)
Mô hình SEM là sự mở rộng của mô hình tuyến tính tổng quát (GLM) cho phép nhà nghiên cứu kiểm định một tập hợp phương trình hồi quy cùng một lúc.
SEM có thể cho một mô hình phức hợp phù hợp với dữ liệu như các bộ dữ liệu khảo sát trong dài hạn(longitudinal), phân tích nhân tố khẳng định (CFA), các mô hình không chuẩn hoá,cơ sở dữ liệu có cấu trúc sai số tự tương quan, dữ liệu với các biến số không chuẩn(Non-Normality) , hay dữ liệu bị thiếu (missing data).
Đặc biệt, SEM sử dụng để ước lượng các mô hình đo lường (Mesurement Model) và mô hình cấu trúc (Structure Model) của bài toán lý thuyết đa biến.
Mô hình đo lường chỉ rõ quan hệ giữa các biến tiềm ẩn (Latent Variables) và các biến quan sát (observed variables).Nó cung cấp thông tin về thuộc tính đo lường của biến quan sát (độ tin cậy, độ giá trị).
Mô hình cấu trúc chỉ rõ mối quan hệ giữa các biến tiềm ẩn với nhau. Các mối quan hệ này có thể mô tả những dự báo mang tính lý thuyết mà các nhà nghiên cứu quan tâm.
Mô hình SEM phối hợp được tất cả các kỹ thuật như hồi quy đa biến, phân tích nhân tố và phân tích mối quan hệ hỗ tương (giữa các phần tử trong sơ đồ mạng) để cho phép chúng ta kiểm tra mối quan hệ phức hợp trong mô hình. Khác với những kỹ thuật thống kê khác chỉ cho phép ước lượng mối quan hệ riêng phần của từng cặp nhân tố (phần tử) trong mô hình cổ điển (mô hình đo lường), SEM cho phép ước lượng đồng thời các phần tử trong tổng thể mô hình, ước lượng mối quan hệ nhân quả giữa các khái niệm tiềm ẩn (Latent Constructs) qua các chỉ số kết hợp cả đo lường và cấu trúc của mô hình lý thuyết, đo các mối quan hệ ổn định (recursive) và không ổn định (non-recursive), đo các ảnh hưởng trực tiếp cũng như gián tiếp, kể cả sai số đo và tương quan phần dư. Với kỹ thuật phân tích nhân tố khẳng định (CFA) mô hình SEM cho phép linh động tìm kiếm mô hình phù hợp nhất trong các mô hình đề nghị.
- Công dụng và lợi thế của mô hình mạng (SEM)
- Kiểm định các giả thuyết về các quan hệ nhân quả có phù hợp (FIT) với dữ liệu thực nghiệm hay không.
- Kiểm định khẳng định (Confirmating) các quan hệ giữa các biến.
- Kiểm định các quan hệ giữa các biến quan sát và không quan sát (biến tiềm ẩn)
- Là phương pháp tổ hợp phương pháp hồi quy, phương pháp phân tích nhân tố, phân tích phương sai.
- Ước lượng độ giá trị khái niệm (cấu trúc nhân tố) của các độ đo trước khi phân tích sơ đồ đường (path analysis)
- Cho phép thực hiện đồng thời nhiều biến phụ thuộc (nội sinh).
- Cung cấp các chỉ số độ phù hợp cho các mô hình kiểm định.
- Cho phép cải thiện các mô hình kém phù hợp bằng cách sử dụng linh hoạt các hệ số điều chỉnh MI (Modification Indices).
- SEM cung cấp các công cụ có giá trị về thống kê, khi dùng thông tin đo lường để hiệu chuẩn các quan hệ giả thuyết giữa các biến tiềm ẩn.
- SEM giúp giả thuyết các mô hình, kiểm định thống kê chúng (vì EFA và hồi quy có thể không bền vững nhất quán về mặt thống kê)
- SEM thường là một phức hợp giữa một số lượng lớn các biến quan sát và tiềm ẩn, các phần dư và sai số.
- SEM giả định có một cấu trúc nhân quả giữa các biến tiềm ẩn có thể là các tổ hợp tuyến tính của các biến quan sát, hoặc là các biến tham gia trong một chuỗi nhân quả.
Phần thứ 2: Giới thiệu về các khái niệm biến quan sát, tiềm ẩn, bậc tự do, sai số, phần dư, ẩn tàng, tường minh, tính xác định của mô hình…
Hình 1: Mô hình biểu diễn quan hệ giữa các biến quan sát và biến tiềm ẩn

Sự liên kết của các biến quan sát (chỉ báo) với các biến tiềm ẩn (không quan sát) là bước đầu tiên trong một thủ tục thống kê hình thức. Trái lại thông thường các thủ tục liên kết thường “ẩn tàng”-nếu ta cảm thấy một biến đo được nào đó có chỉ báo tốt của một khái niệm tiềm ẩn nào đó, thì chúng ta sẽ dùng nó.
Biến tiềm ẩn(Latent Variable):còn gọi là nhân tố, biến nội sinh hay biến phụ thuộc trong mô hình truyền thống(hình 1a). Trái lại, trong mô hình SEM, biến tiềm ẩn trực tiếp ảnh hưởng kết quả hay giá trị của biến quan sát và biểu diễn dưới dạng hình ellipse(F1) như hình 2. Biến tiềm ẩn (nhân tố) F1 thể hiện một khái niệm lý thuyết, không thể đo trực tiếp được mà phải thông qua các biến quan sát V1, V2,V3. Trường hợp này biến F1 còn được gọi là nhân tố cơ sở (Underlying factor), trong mô hình đo lường.
Các biến tiềm ẩn hay các nhân tố cơ sở (F1, F2, F3) hay các sai số đo lường (e1,e2,e3) có thể tương quan với nhau ( mũi tên 2 chiều) hay có thể ảnh hưởng trực tiếp biến tiềm ẩn khác (mũi tên 1 chiều). Biến F3 trên hình vẽ có các mũi tên đi vào nên còn được gọi là biến nội sinh hay biến phụ thuộc ( trong mô hình hồi quy hay mô hình cấu trúc).
Hình 3:Ví dụ một mô hình cấu trúc

Số hạng sai số và phần dư (Error & Disturbance):
Số hạng sai số ei biểu thị sai số của các biến đo lường, trong khi di biểu thị cho nhiễu hoặc sai số liên quan với giá trị dự báo của các nhân tố(biến) nội sinh từ các nhân tố(biến) ngoại sinh hay còn gọi là phần dư của ước lượng hồi quy.
Trong mô hình đo lường của SEM (hình 4), mỗi biến nội sinh có một số hạng sai số(ei) hay nhiễu(di), nó thể hiện tính không chắc chắn và không chính xác của sự đo lường, đồng thời nó còn thể hiện tính chất này cho cả các biến chưa được phát hiện và không được đo lường trong mô hình.
Hình 4: các phần tử cơ bản trong mô hình SEM

Lưu ý rằng biến nội sinh là biến phụ thuộc vào biến khác ( V1,V2…,V6 và F3) có mũi tên vào/ra, còn biến ngoại sinh là biến không phụ thuộc vào biến khác (F1, F2) chỉ có mũi tên đi ra (không có bất kỳ nhiễu d hay bất kỳ sai số e nào) Ngoài ra, cũng cần phân biệt mũi tên một chiều giữa các biến tiềm ẩn và các biến quan sát biểu thị các hệ số tải (factor loadings) trong khi mũi tên một chiều giữa các khái niệm tiềm ẩn và các biến quan sát lại biểu thị hệ số hồi quy (regression coefficients)
Tóm lại, Một mô hình SEM đặc trưng là một phức hợp giữa một số lượng lớn các biến quan sát và không quan sát, các số hạng phần dư và các sai số.
Biến trung gian ( Mediator): Gọi X là biến nguyên nhân gốc, M là biến trung gian tiềm năng(hình 5), và Y là biến kết quả. Để xác định M là biến trung gian:
a) Chứng minh rằng X —- > Y : Y liên quan với X,
b) Chứng minh rằng X —- > M : M liên quan với X,
c) Chứng minh rằng M — > Y là liên kết có ý nghĩa trong hồi quy hai biến dự báo
Hình 5: Biến trung gian trong mô hình SEM

d) Giả định các kiểm định trên đều thỏa mãn, khi đó:
Phân biệt khái niệm “Ẩn tàng” và khái niệm “Tường minh”

Biến chỉ báo phản ánh (Reflective Indicators) có quan hệ liên đới với nhau, sự thay đổi của một biến chỉ báo này kéo theo sự thay đổi của biến chỉ báo khác thể hiện qua tính nhất quán cục bộ được đo bằng hệ số Cronbach’s Alpha.
Biến chỉ báo cấu tạo (Formative Indicators) không cần thiết có liên quan với nhau, sự thay đổi của một biến chỉ báo này không ảnh hưởng đến các biến chỉ báo khác, do vậy không áp dụng đo tính nhất quán.
Hai khái niệm này được phối hợp lại trong mô hình nghiên cứu trong đó biến chỉ báo cấu tạo là nguyên nhân trong khi biến chỉ báo phản ánh thì phản ánh kết quả.

Để xác định mô hình nghiên cứu thuộc loại mô hình nào trong ba loại mô hình “Vừa xác định- Just Identification”; “Kém xác định- Under Identification” hay “Quá xác định- Over Identification” thì cần phải tính toán số bậc tự do của mô hình.
Bậc tự do là sự khác biệt giữa tổng số dữ liệu quan sát đầu vào (data points) và tổng số các thông số ước lượng trong SEM , được xác định bằng công thức sau:
df = 1/2[(p + q)(p + q +1)] – t
Trong đó:
p= số các biến chỉ báo nội sinh
q= số các biến chỉ báo ngoại sinh
(p+q = số biến quan sát)
t= Số các thông số ước lượng
½[(p+q)(p+q+1) = Số quan sát hay hiệp phương sai trong ma trận (data points)
1) Mô hình “vừa xác định” (Just Identification): Mô hình có df =0 và chỉ có một lời giải khả dĩ cho mỗi ước lượng thông số. Ví dụ: 2x+y =7; 3x+2y=11
2) Mô hình “kém xác định” (Under Identification): Mô hình có df < 0 và có vô số các giá trị ước lượng thông số. Vi dụ : 2x +y =7
3) Mô hình “quá xác định”(Over Identification): Mô hình có df > 0 và có hơn một lời giải khả dĩ (nhưng có một lời giải tối ưu hay tốt nhất đối với mỗi ước lượng thông số). Mô hình “quá xác định” xảy ra khi mỗi thông số được xác định và ít nhất một thông số thì “quá xác định” (có nhiều hơn một phương trình cho ước lượng thông số này). Thông thường mô hình “quá xác định” được ưa thích hơn, có bậc tự do dương (df>0). Mục tiêu là đạt được df càng lớn càng tốt.
Việc đặt các hạn chế(ràng buộc) trên mô hình “quá xác định” cho chúng ta kiểm định các giả thuyết (dùng Chi Square và các chỉ số khác).
Sự “xác định” là một yêu cầu về cấu trúc hay toán học để có thể tiến hành phân tích SEM.
Sự “kém xác định” trong thực nghiệm xuất hiện khi có một thông số ước lượng tính “xác định” của mô hình có giá trị gần bằng 0. Do tính chất lặp của ước lượng SEM, một thông số ước lượng (phương sai chẳng hạn) bắt đầu với giá trị dương và tiến dần về giá trị 0.
Trong nghiên cứu mô hình SEM cần cố gắng xác định nguyên nhân của tính kém xác định là do cấu trúc hay kém xác định do thực nghiệm.
– Nếu kém xác định do cấu trúc: Xác định lại mô hình
– Nếu kém xác định do thực nghiệm: điều chỉnh bằng cách thu thập thêm dữ liệu hay xác định lại mô hình.
Phần thứ 3: Giới thiệu về các dạng mô hình chủ yếu khi phân tích SEM:mô hình đo lường, mô hình cấu trúc, mô hình xác lập, mô hình không xác lập, mô hình bão hòa, mô hình độc lập…
Theo Vinod Kumar, Deregouska,2003 thì mô hình SEM gồm hai mô hình có liên quan với nhau là mô hình đo lường và mô hình cấu trúc. Cả hai mô hình đều được xác định cụ thể bởi nhà nghiên cứu:
5.1 Mô hình đo lường: (còn gọi là mô hình nhân tố, mô hình ngoài) diễn tả cách các biến quan sát thể hiện và giải thích các biến tiềm ẩn thế nào: tức là diễn tả cấu trúc nhân tố (biến tiềm ẩn), đồng thời diễn tả các đặc tính đo lường ( độ tin cậy, độ giá trị) của các biến quan sát. Các mô hình đo lường cho các biến độc lập có thể đơn hướng, có thể tương quan hay có thể xác định các biến tiềm ẩn bậc cao hơn. Mô hình đo lường ( hình 7) cho thấy các liên hệ thống kê giữa các biến quan sát, ta có thể dùng để chuẩn hoá mô hình cấu trúc cơ bản. Các biến tiềm ẩn được nối kết bằng các quan hệ dạng hồi quy chuẩn hoá, tức là ước lượng các giá trị cho các hệ số hồi quy.
Hình 7 : Mô hình đo lường

Mô hình đo lường dùng phân tích nhân tố để đánh giá mức độ mà biến quan sát tải lên các khái niệm tiềm ẩn của chúng. Để đánh giá độ giá trị (hội tụ và phân biệt) của các biến quan sát sử dụng kỹ thuật phân tích nhân tố khẳng định(CFA) và ma trận Covariance dựa trên mô hình SEM,.
5.2 Mô hình cấu trúc: Xác định các liên kết (quan hệ nhân quả) giữa các biến tiềm ẩn bằng mũi tên nối kết, và gán cho chúng các phương sai giải thích và chưa giải thích, tạo thành cấu trúc nhân quả cơ bản. Biến tiềm ẩn được ước lượng bằng hồi quy bội của các biến quan sát. Mô hình SEM không cho phép sử dụng khái niệm biểu thị bởi biến quan sát đơn.Thông thường biến tiềm ẩn đo lường bởi ít nhất là trên một biến, hay từ 3 đến tối đa là 7 biến quan sát.[Hair et al, Chap 11, 2000]
Mô hình SEM có thể có nhiều dạng khác nhau:
Hình 8: Mô hình SEM và các phần tử cơ bản của nó
Mô hình có 02 đặc điểm cơ bản :
– Các số hạng sai số của nó không có tương quan với nhau
– Mọi tác động nhân quả đều đơn hướng.
Mô hình Recursive được sử dụng phổ biến trong các mô hình nghiên cứu nhờ ưu điểm là dễ mô hình hoá, có tính ổn định hơn nhiều so với mô hình Non-Recursive, và luôn được xác định (được trình bày cụ thể trong phần 2.3.3 Tính xác định của mô hình)
Hình 9: Mô hình SEM với trạng thái xác lập (ổn định) của nó
X, Y : Biến ngoại sinh E: Số hạng sai số
W, Z: Biến nội sinh <—> Covariance (Tương quan )
5.4 Mô hình không xác lập (Non-Recursive)
Hình 10: Mô hình SEM với trạng thái chưa xác lập (không ổn định)
Mô hình Non-Recursive có vòng lặp phản hồi giữa các biến nội sinh, hoặc:
5.5 Mô hình bão hoà (Saturated Model): Mô hình bão hoà (hình 11) chứa rất nhiều các thông số cần ước lượng bằng với số đầu vào(input) trong phân tích.Vì vậy mô hình này không có bậc tư do(df=0). Đây là mô hình ít hạn chế(ràng buộc) nhất mà nó có thể phù hợp với bộ dữ liệu.
Hình 11: Mô hình bão hòa của SEM
5.6 Mô hình độc lập (Independence Model)
Mô hình độc lập (Hình 12) là mô hình có nhiều ràng buộc nhất mà nó có thể phù hợp với bộ dữ liệu, có tối đa số bậc tự do. Nó chỉ chứa các ước lượng phương sai của các biến quan sát, tức là giả định các quan hệ giữa các biến quan sát không có.
Hình 12: Mô hình độc lập của SEM
5.7 Mô hình SEM tổng quát : cho phép mô hình gồm nhiều khái niệm tiềm ẩn được chỉ báo bởi các biến quan sát ( độc lập và phụ thuộc) và cho cả các quan hệ ổn định (Recursive) và không ổn định (non-recursive) giữa các biến khái niệm. Tóm lại mô hình SEM là sự kết hợp giữa mô hình đo lường và mô hình cấu trúc.
Khi làm bài luận thạc sĩ thực tế, mô hình sẽ có dạng tương tự như sau:
- Các phần tử trong mô hình mạng (SEM)
Hình 1: Mô hình biểu diễn quan hệ giữa các biến quan sát và biến tiềm ẩn

Sự liên kết của các biến quan sát (chỉ báo) với các biến tiềm ẩn (không quan sát) là bước đầu tiên trong một thủ tục thống kê hình thức. Trái lại thông thường các thủ tục liên kết thường “ẩn tàng”-nếu ta cảm thấy một biến đo được nào đó có chỉ báo tốt của một khái niệm tiềm ẩn nào đó, thì chúng ta sẽ dùng nó.
Biến tiềm ẩn(Latent Variable):còn gọi là nhân tố, biến nội sinh hay biến phụ thuộc trong mô hình truyền thống(hình 1a). Trái lại, trong mô hình SEM, biến tiềm ẩn trực tiếp ảnh hưởng kết quả hay giá trị của biến quan sát và biểu diễn dưới dạng hình ellipse(F1) như hình 2. Biến tiềm ẩn (nhân tố) F1 thể hiện một khái niệm lý thuyết, không thể đo trực tiếp được mà phải thông qua các biến quan sát V1, V2,V3. Trường hợp này biến F1 còn được gọi là nhân tố cơ sở (Underlying factor), trong mô hình đo lường.
Các biến tiềm ẩn hay các nhân tố cơ sở (F1, F2, F3) hay các sai số đo lường (e1,e2,e3) có thể tương quan với nhau ( mũi tên 2 chiều) hay có thể ảnh hưởng trực tiếp biến tiềm ẩn khác (mũi tên 1 chiều). Biến F3 trên hình vẽ có các mũi tên đi vào nên còn được gọi là biến nội sinh hay biến phụ thuộc ( trong mô hình hồi quy hay mô hình cấu trúc).
Hình 3:Ví dụ một mô hình cấu trúc

Số hạng sai số và phần dư (Error & Disturbance):
Số hạng sai số ei biểu thị sai số của các biến đo lường, trong khi di biểu thị cho nhiễu hoặc sai số liên quan với giá trị dự báo của các nhân tố(biến) nội sinh từ các nhân tố(biến) ngoại sinh hay còn gọi là phần dư của ước lượng hồi quy.
Trong mô hình đo lường của SEM (hình 4), mỗi biến nội sinh có một số hạng sai số(ei) hay nhiễu(di), nó thể hiện tính không chắc chắn và không chính xác của sự đo lường, đồng thời nó còn thể hiện tính chất này cho cả các biến chưa được phát hiện và không được đo lường trong mô hình.
Hình 4: các phần tử cơ bản trong mô hình SEM

Lưu ý rằng biến nội sinh là biến phụ thuộc vào biến khác ( V1,V2…,V6 và F3) có mũi tên vào/ra, còn biến ngoại sinh là biến không phụ thuộc vào biến khác (F1, F2) chỉ có mũi tên đi ra (không có bất kỳ nhiễu d hay bất kỳ sai số e nào) Ngoài ra, cũng cần phân biệt mũi tên một chiều giữa các biến tiềm ẩn và các biến quan sát biểu thị các hệ số tải (factor loadings) trong khi mũi tên một chiều giữa các khái niệm tiềm ẩn và các biến quan sát lại biểu thị hệ số hồi quy (regression coefficients)
Tóm lại, Một mô hình SEM đặc trưng là một phức hợp giữa một số lượng lớn các biến quan sát và không quan sát, các số hạng phần dư và các sai số.
Biến trung gian ( Mediator): Gọi X là biến nguyên nhân gốc, M là biến trung gian tiềm năng(hình 5), và Y là biến kết quả. Để xác định M là biến trung gian:
a) Chứng minh rằng X —- > Y : Y liên quan với X,
b) Chứng minh rằng X —- > M : M liên quan với X,
c) Chứng minh rằng M — > Y là liên kết có ý nghĩa trong hồi quy hai biến dự báo
Hình 5: Biến trung gian trong mô hình SEM

d) Giả định các kiểm định trên đều thỏa mãn, khi đó:
- i) Nếu liên kết : X — >Y không có ý nghĩa ở c) : M trung gian toàn phần;
- ii) Nếu liên kết : X — >Y có ý nghĩa ở c) : M trung gian một phần.
Phân biệt khái niệm “Ẩn tàng” và khái niệm “Tường minh”

Biến chỉ báo phản ánh (Reflective Indicators) có quan hệ liên đới với nhau, sự thay đổi của một biến chỉ báo này kéo theo sự thay đổi của biến chỉ báo khác thể hiện qua tính nhất quán cục bộ được đo bằng hệ số Cronbach’s Alpha.
Biến chỉ báo cấu tạo (Formative Indicators) không cần thiết có liên quan với nhau, sự thay đổi của một biến chỉ báo này không ảnh hưởng đến các biến chỉ báo khác, do vậy không áp dụng đo tính nhất quán.
Hai khái niệm này được phối hợp lại trong mô hình nghiên cứu trong đó biến chỉ báo cấu tạo là nguyên nhân trong khi biến chỉ báo phản ánh thì phản ánh kết quả.

- Tính xác định của mô hình SEM
Để xác định mô hình nghiên cứu thuộc loại mô hình nào trong ba loại mô hình “Vừa xác định- Just Identification”; “Kém xác định- Under Identification” hay “Quá xác định- Over Identification” thì cần phải tính toán số bậc tự do của mô hình.
Bậc tự do là sự khác biệt giữa tổng số dữ liệu quan sát đầu vào (data points) và tổng số các thông số ước lượng trong SEM , được xác định bằng công thức sau:
df = 1/2[(p + q)(p + q +1)] – t
Trong đó:
p= số các biến chỉ báo nội sinh
q= số các biến chỉ báo ngoại sinh
(p+q = số biến quan sát)
t= Số các thông số ước lượng
½[(p+q)(p+q+1) = Số quan sát hay hiệp phương sai trong ma trận (data points)
1) Mô hình “vừa xác định” (Just Identification): Mô hình có df =0 và chỉ có một lời giải khả dĩ cho mỗi ước lượng thông số. Ví dụ: 2x+y =7; 3x+2y=11
2) Mô hình “kém xác định” (Under Identification): Mô hình có df < 0 và có vô số các giá trị ước lượng thông số. Vi dụ : 2x +y =7
3) Mô hình “quá xác định”(Over Identification): Mô hình có df > 0 và có hơn một lời giải khả dĩ (nhưng có một lời giải tối ưu hay tốt nhất đối với mỗi ước lượng thông số). Mô hình “quá xác định” xảy ra khi mỗi thông số được xác định và ít nhất một thông số thì “quá xác định” (có nhiều hơn một phương trình cho ước lượng thông số này). Thông thường mô hình “quá xác định” được ưa thích hơn, có bậc tự do dương (df>0). Mục tiêu là đạt được df càng lớn càng tốt.
Việc đặt các hạn chế(ràng buộc) trên mô hình “quá xác định” cho chúng ta kiểm định các giả thuyết (dùng Chi Square và các chỉ số khác).
Sự “xác định” là một yêu cầu về cấu trúc hay toán học để có thể tiến hành phân tích SEM.
Sự “kém xác định” trong thực nghiệm xuất hiện khi có một thông số ước lượng tính “xác định” của mô hình có giá trị gần bằng 0. Do tính chất lặp của ước lượng SEM, một thông số ước lượng (phương sai chẳng hạn) bắt đầu với giá trị dương và tiến dần về giá trị 0.
Trong nghiên cứu mô hình SEM cần cố gắng xác định nguyên nhân của tính kém xác định là do cấu trúc hay kém xác định do thực nghiệm.
– Nếu kém xác định do cấu trúc: Xác định lại mô hình
– Nếu kém xác định do thực nghiệm: điều chỉnh bằng cách thu thập thêm dữ liệu hay xác định lại mô hình.
Phần thứ 3: Giới thiệu về các dạng mô hình chủ yếu khi phân tích SEM:mô hình đo lường, mô hình cấu trúc, mô hình xác lập, mô hình không xác lập, mô hình bão hòa, mô hình độc lập…
- CÁC DẠNG MÔ HÌNH
5.1 Mô hình đo lường: (còn gọi là mô hình nhân tố, mô hình ngoài) diễn tả cách các biến quan sát thể hiện và giải thích các biến tiềm ẩn thế nào: tức là diễn tả cấu trúc nhân tố (biến tiềm ẩn), đồng thời diễn tả các đặc tính đo lường ( độ tin cậy, độ giá trị) của các biến quan sát. Các mô hình đo lường cho các biến độc lập có thể đơn hướng, có thể tương quan hay có thể xác định các biến tiềm ẩn bậc cao hơn. Mô hình đo lường ( hình 7) cho thấy các liên hệ thống kê giữa các biến quan sát, ta có thể dùng để chuẩn hoá mô hình cấu trúc cơ bản. Các biến tiềm ẩn được nối kết bằng các quan hệ dạng hồi quy chuẩn hoá, tức là ước lượng các giá trị cho các hệ số hồi quy.
Hình 7 : Mô hình đo lường

Mô hình đo lường dùng phân tích nhân tố để đánh giá mức độ mà biến quan sát tải lên các khái niệm tiềm ẩn của chúng. Để đánh giá độ giá trị (hội tụ và phân biệt) của các biến quan sát sử dụng kỹ thuật phân tích nhân tố khẳng định(CFA) và ma trận Covariance dựa trên mô hình SEM,.
5.2 Mô hình cấu trúc: Xác định các liên kết (quan hệ nhân quả) giữa các biến tiềm ẩn bằng mũi tên nối kết, và gán cho chúng các phương sai giải thích và chưa giải thích, tạo thành cấu trúc nhân quả cơ bản. Biến tiềm ẩn được ước lượng bằng hồi quy bội của các biến quan sát. Mô hình SEM không cho phép sử dụng khái niệm biểu thị bởi biến quan sát đơn.Thông thường biến tiềm ẩn đo lường bởi ít nhất là trên một biến, hay từ 3 đến tối đa là 7 biến quan sát.[Hair et al, Chap 11, 2000]
Mô hình SEM có thể có nhiều dạng khác nhau:
Hình 8: Mô hình SEM và các phần tử cơ bản của nó
- a) Một biến tiềm ẩn độc lập đơn có thể dự báo một biến tiềm ẩn phụ thuộc đơn.
- b) Vài biến tiềm ẩn có thể tương quan trong dự báo một biến phụ thuộc nào đó.
- c) Một biến tiềm ẩn độc lập có thể dự báo một biến tiềm ẩn khác, rồi biến này lại dự báo một biến thứ ba,
Mô hình có 02 đặc điểm cơ bản :
– Các số hạng sai số của nó không có tương quan với nhau
– Mọi tác động nhân quả đều đơn hướng.
Mô hình Recursive được sử dụng phổ biến trong các mô hình nghiên cứu nhờ ưu điểm là dễ mô hình hoá, có tính ổn định hơn nhiều so với mô hình Non-Recursive, và luôn được xác định (được trình bày cụ thể trong phần 2.3.3 Tính xác định của mô hình)
Hình 9: Mô hình SEM với trạng thái xác lập (ổn định) của nó
W, Z: Biến nội sinh <—> Covariance (Tương quan )
5.4 Mô hình không xác lập (Non-Recursive)
Hình 10: Mô hình SEM với trạng thái chưa xác lập (không ổn định)
- Khi hai biến nội sinh ảnh hưởng lẫn nhau, tức là có vòng lặp phản hồi (1) , hoặc:
- Có vòng lặp giữa hai biến nội sinh và các số hạng sai số của hai biến nội sinh (2)
5.5 Mô hình bão hoà (Saturated Model): Mô hình bão hoà (hình 11) chứa rất nhiều các thông số cần ước lượng bằng với số đầu vào(input) trong phân tích.Vì vậy mô hình này không có bậc tư do(df=0). Đây là mô hình ít hạn chế(ràng buộc) nhất mà nó có thể phù hợp với bộ dữ liệu.
Hình 11: Mô hình bão hòa của SEM
Mô hình độc lập (Hình 12) là mô hình có nhiều ràng buộc nhất mà nó có thể phù hợp với bộ dữ liệu, có tối đa số bậc tự do. Nó chỉ chứa các ước lượng phương sai của các biến quan sát, tức là giả định các quan hệ giữa các biến quan sát không có.
Hình 12: Mô hình độc lập của SEM
Khi làm bài luận thạc sĩ thực tế, mô hình sẽ có dạng tương tự như sau:
Phần thứ 4: Giới thiệu về phân tích EFA, CFA, ma trận cấu trúc hiệp phương sai, sơ đồ đường path diagram,direct effect, indirect effect

Số lượng các nhân tố cơ sở tùy thuộc vào mô hình nghiên cứu, trong đó chúng ràng buộc nhau bằng cách xoay các vector trực giao nhau để không xảy ra hiện tượng tương quan. Phân tích nhân tố khám phá EFA rất hữu dụng trong bước thực nghiệm ban đầu hay mở rộng kiểm định.
6.2 Phân tích nhân tố khẳng định (CFA): sử dụng thích hợp khi nhà nghiên cứu có sẵn một số kiến thức về cấu trúc biến tiềm ẩn cơ sở. Trong đó mối quan hệ hay giả thuyết (có được từ lý thuyết hay thực nghiệm) giữa biến quan sát và nhân tố cơ sở thì được các nhà nghiên cứu mặc nhiên thừa nhận trước khi tiến hành kiểm định thống kê. Như vậy CFA là bước tiếp theo của EFA nhằm kiểm định xem có một mô hình lý thuyết có trước làm nền tảng cho một tập hợp các quan sát không. CFA cũng là một dạng của SEM. Khi xây dựng CFA, các biến quan sát cũng là các biến chỉ báo trong mô hình đo lường, bởi vì chúng cùng ” tải” lên khái niệm lý thuyết cơ sở.
Phương pháp phân tích nhân tố khẳng định CFA chấp nhận các giả thuyết của các nhà nghiên cứu, được xác định căn cứ theo quan hệ giữa mỗi biến và một hay nhiều hơn một nhân tố. Sau đây là một mô hình SEM sử dụng kỹ thuật phân tích CFA:
Hình 13: Mô hình đo lường và mô hình cấu trúc của SEM

X1 = λ11 ξ1 + δ1
X2 = λ22 ξ2 + δ2
X3 = λ31 ξ1 + λ32 ξ2 + δ3,
(ξi là các nhân tố chung, Xi là các nhân tố xác định)
Trong đó: λ là các hệ số tải, các nhân tố chung ξ i có thể có tương quan với nhau, các nhân tố xác định Xi cũng có thể tương quan với nhau. Phương sai của một nhân tố xác định là duy nhất.
Phương trình biểu diễn mô hình một cách tổng quát dạng ma trận của x như sau:
x = Λx ξ +δ
Cov(x, ξ) = Σ = E(xx’) = E [(Λx ξ +δ)(Λx ξ +δ)’] = E[(Λx ξ +δ)(Λ’x ξ ‘+δ’)]
= Λx E(ξξ’)Λx’ + ΛxE(ξδ’)Λx’ + E(δ’δ’)
Đặt: Σ = E(xx’); Φ = E(ξξ’); Θ = E(δδ’)
Với x’; Λx’; ξ ‘; δ’ lần lượt là ma trận chuyển vị của ma trận x; Λx; ξ ;δ.
Cuối cùng phương trình Covariance được viết gọn như sau:
Σx = Λx Φξ Λ’x + Θx
Tương tự đối với phương trình dạng ma trận của y và ma trận Covariance:
y = Λyη + ε
Σy = Λy Φη Λ’y + Θy
Mục đích của ma trận VAR và COV trong SEM dùng để xác định các mối quan hệ giữa các phần tử trong mô hình bằng cách ước lượng ma trận tương quan kỳ vọng (tổng thể), so sánh với ma trận tương quan của dữ liệu quan sát (mẫu) thông qua kiểm định Chi square. Sự khác biệt giữa tương quan “ước lượng” và tương quan “quan sát” của hai ma trận này thể hiện trong sự thay đổi giá trị Chi square, nó chỉ ra mức độ phù hợp của mô hình với dữ liệu như thế nào (Chi square không có ý nghĩa (p > 0.05) biểu thị một sự phù hợp tốt). Kiểm định Chi square bao gồm cả tương quan của biến quan sát và tương quan kỳ vọng
Hình 14: Mô hình cấu trúc hiệp phương sai

(CSM- Covariance Structural Modeling)
SEM giả định các thành phần sai số ngẫu nhiên trong mô hình có phân phối chuẩn đa biến ( biểu diễn bằng hình ellipse). Với giả định này cho phép dùng phương pháp ML ( Maximum Likelihood) để ước lượng các hệ số trong mô hình. Trong trường hợp các điều kiện ước lượng ML không thỏa mãn, như các biến phân loại (categorical) chẳng hạn thì phải sử dụng phương pháp ước lượng LS. Tất cả các phương pháp ước lượng trong SEM đều đòi hỏi kích thước mẫu lớn.
Ngoài ra các thành phần ngẫu nhiên trong SEM cũng đòi hỏi sai số đo lường của x (hay của y), tức là δ (hay ε) không tương quan với các biến tiềm ẩn độc lập ξ (hay phụ thuộc η). Đồng thời sai số phương trình trong mô hình cấu trúc giữa các biến tiềm ẩn độc lập và tiềm ẩn phụ thuộc thì không tương quan với các sai số đo lường của các biến chỉ báo quan sát ( x và y), tức là ζ không được tương quan với δ (hay ε).
Khái niệm biến ngoại sinh ξ trong mô hình còn gọi là biến nguồn hay biến độc lập vì nó không chịu tác động của biến dự báo hay biến nào khác trong mô hình. Khái niệm biến nội sinh η được dự báo bởi một hay nhiều khái niệm khác.
Phương trình cấu trúc :

Trong phân tích sơ đồ đường các phần tử biến có quan hệ ảnh hưởng trực tiếp và gián tiếp nhau. Trong sơ đồ nhân quả trên ta có:
Ảnh hưởng trực tiếp :
X3 gồm ảnh hưởng của X1 và X2,
X4 gồm ảnh hưởng của X2 và X3,
X5 chỉ ảnh hưởng trực tiếp bởi X2
Y gồm ảnh hưởng của X4 và X5
Ảnh hưởng gián tiếp:
Là ảnh hưởng của một biến thông qua một biến khác, ví dụ:
X1 ảnh hưởng lên X4 thông qua X3
X1 ảnh hưởng lên Y một cách gián tiếp thông qua X3 và X4.
Ảnh hưởng giữa các biến biểu thị bằng các hệ số tương quan. Toàn bộ các ảnh hưởng giữa các biến trong mô hình SEM tạo nên ma trận tương quan cấu trúc:
r13 = p31 ; r23 = p32 ; r14 =p43 . p31
r24 =p43. p32 + p42; r25 = p52
ry = py4.p42 + py4 . p43. p32 + py5.p52
Quy tắc: Tương quan cấu trúc giữa hai biến thì bằng tổng các tác động trực tiếp và gián tiếp có khả năng xảy ra.
Giả sử có ma trận tương quan của các biến quan sát X1, X2 và X3 như sau:
X1 X2 X3
X1 1.0 r12 r13
X2 1.0 r23
X3 1.0
Giả thiết một mô hình cấu trúc (M1) dùng để kiểm định là :

Mô hình này được biểu diễn bằng các phương trình sau
ŕ12 = p21 (p: hệ số hồi quy riêng phần chuẩn hóa)
ŕ13 = p31 +p32. p21 (ảnh hưởng trực tiếp của X1 lên X3 cộng với ảnh hưởng gián tiếp qua X2)
ŕ23 = p32 + p31. p21 (ảnh hưởng trực tiếp của X2 lên X3 cộng với ảnh hưởng của X1 lên X3 và X2)
ŕij biểu diễn tương quan “tái cấu trúc” hay tương quan “ước lượng” trên cơ sở mô hình lý thuyết trên đây. Hệ số hồi quy có thể ước lượng bằng phương pháp hồi quy đa biến trên cơ sở mô hình đã cho và có thể dùng để “tái cấu trúc lại” ma trận tương quan.
X1 1.0 r 12(o) r13(o)
X2 1.0 r23(o)
X3 1.0
X1 1.0 ŕ12 (e) ŕ13(e)
X2 1.0 ŕ23(e)
X3 1.0
So sánh các phần tử của hai ma trận tương quan này càng giống nhau thì giá trị Chi square càng nhỏ.

Lưu ý rằng mỗi mô hình thay thế có một tập tương quan kỳ vọng khác nhau làm cho mô hình tốt hơn hoặc xấu đi. Giả sử mô hình lý thuyết ở trên bây giờ là (M2)

Hầu hết các mô hình nhân quả đều tiến hành so sánh để chọn ra mô hình phù hợp nhất. Mỗi mô hình có một giá trị Chi square ứng với số bậc tự do nhất định. Hai mô hình M1 và M2 giống nhau nhưng M2 bỏ đi mối quan hệ X1 và X2. Ý nghĩa của sự tăng /giảm độ phù hợp trong trường hợp này là :với df = df1 – df2 (hay còn xác định bằng chỉ số sự thay đổi của Chi square trên một bậc tự do)
Mỗi đường biểu diễn một quan hệ giữa hai biến thì tương ứng với một giả thuyết nghiên cứu, không được kiểm định để xác định hướng. Phân tích nhân quả là phân tích các tập hợp con của mô hình SEM như hình dưới đây:
Hình 15: Mô hình đo lường con và sự kết hợp của chúng trong mô hình cấu trúc của SEM

Phân tích nhân quả chỉ đề cập đến các biến đo lường, là sự mở rộng của hồi quy, có tính đồng thời và dùng độ đo tổng hợp.
Phân tích nhân quả là kỹ thuật xác định quan hệ trực tiếp và gián tiếp giữa các biến số, là các liên kết giả thuyết giữa các biến ngoại sinh và biến nội sinh, là hiệu ứng trực tiếp hay chính là hệ số hồi quy. Liên kết gián tiếp (hay hiệu ứng gián tiếp) qua biến trung gian bằng tích của hai hay nhiều hệ số hồi quy. Hệ số nhân quả bằng hệ số tương quan hay hồi quy (thường chuẩn hoá) liên kết các biến số.Nếu chỉ có một liên kết giữa hai biến số, hệ số nhân quả bằng hệ số tương quan. Ý nghĩa của hệ số nhân quả chính là tỷ số giới hạn CR = β/SEβ = Z-Statistic; CR > 1.96 để có ý nghĩa tại p=0.05 hay CR = 2.5 tại mức ý nghĩa 0.01.
Phần thứ 5 gồm: Kiểm tra độ tin cậy của thang đo ,Mức độ phù hợp của tổng thể mô hình,Kiểm định Chi-Square (χ2),Tỷ số Chi-Square/bậc tự do: χ2 / df ,GFI, AGFI, CFI, NFI , Chỉ số điều chỉnh mô hình (MI – Modification Indices), Kiểm tra ước lượng mô hình bằng phương pháp Boostrap , các công cụ AMOS, LISREL, EQS, MPLUS…
– Bằng hệ số Cronbach’s Alpha.[Hair et al, 1998, Segar, 1997]
– Ước lượng các hệ số hồi quy và tvalue
– Phân tích nhân tố khẳng định (CFA): thực hiện trên mô hình đo lường để loại các biến có hệ số tải nhân tố tiềm ẩn thấp. Có thể thực hiện kiểm định CFA trên từng mô hình con (Sub Model) trước khi kiểm định mô hình tổng thể (tập hợp các mô hình con để kiểm định đồng thời).
– Thống kê SMC ( Square Multiple Correlation) cho mỗi khái niệm tiềm ẩn ngoại sinh (kết quả phân tích CFA của mô hình đo lường nêu trên), tương tự hệ số R2 trong hồi quy tuyến tính, SMC là phương sai giải thích của mỗi khái niệm tiềm ẩn [Bollen, 1989]
2) Mức độ phù hợp của tổng thể mô hình
Bản chất của mô hình SEM là đòi hỏi các nhà nghiên cứu trước hết thực hiện khai báo các giá trị xuất phát ban đầu được gọi là mô hình giả thiết. Từ mô hình giả thiết, thông qua một chuỗi vòng lặp các chỉ số biến đổi để cuối cùng cung cấp cho nhà nghiên cứu một mô hình xác lập, có khả năng giải thích tối đa sự phù hợp giữa mô hình với bộ dữ liệu thu thập thực tế.
Sự phù hợp của toàn bộ mô hình trên thực tế được đánh giá thông qua các tiêu chí về mức độ phù hợp như sau:
i) Kiểm định Chi-Square (χ2) :
Biểu thị mức độ phù hợp tổng quát của toàn bộ mô hình tại mức ý nghĩa p-value = 0.05 [Joserkog & Sorbom, 1989]. Điều này thực tế rất khó xảy ra bởi vì χ2 rất nhạy với kích thước mẫu lớn và độ mạnh của kiểm định, nên thực tế người ta dùng chỉ số χ2 /df để đánh giá,
ii) Tỷ số Chi-Square/bậc tự do: χ2 / df
Cũng dùng để đo mức độ phù hợp một cách chi tiết hơn của cả mô hình. Một số tác giả đề nghị 1 < χ2/df < 3 [Hair et al, 1998]; một số khác đề nghị χ2 càng nhỏ càng tốt [Segar, Grover, 1993] và cho rằng χ2/df < 3:1 [Chin & Todd, 1995] Ngoài ra, trong một số nghiên cứu thực tế người ta phân biệt ra 2 trường hợp : χ2/df < 5(với mẫu N > 200) ; hay < 3 (khi cỡ mẫu N < 200) thì mô hình được xem là phù hợp tốt [Kettinger và Lee,1995].
iii) Các chỉ số liên quan khác:
GFI, AGFI, CFI, NFI, ….. có giá trị > 0.9 được xem là mô hình phù hợp tốt. Nếu các giá trị này bằng 1, ta nói mô hình là hoàn hảo. [Segar, Grover, 1993] & [Chin & Todd, 1995]
GFI: đo độ phù hợp tuyệt đối (không điều chỉnh bậc tự do) của mô hình cấu trúc và mô hình đo lường với bộ dữ liệu khảo sát.
AGFI: Điều chỉnh giá trị GFI theo bậc tự do trong mô hình.
RMR: Một mặt đánh giá phương sai phần dư của biến quan sát, mặt khác đánh giá tương quan phần dư của một biến quan sát này với tương quan phần dư của một biến quan sát khác.. Giá trị RMR càng lớn nghĩa là phương sai phần dư càng cao, nó phản ánh một mô hình có độ phù hợp không tốt.
RMSEA : là một chỉ tiêu quan trọng, nó xác định mức độ phù hợp của mô hình so với tổng thể.
Trong tạp chí nghiên cứu IS, các tác giả cho rằng chỉ số RMSEA, RMR yêu cầu < 0.05 thì mô hình phù hợp tốt. Trong một số trường hợp giá trị này < 0.08 mô hình được chấp nhận. [Taylor, Sharland, Cronin và Bullard, 1993].
NFI: đo sự khác biệt phân bố chuẩn của χ2 giữa mô hình độc lập (đơn nhân tố, có các hệ số bằng 0) với phép đo phương sai và mô hình đa nhân tố.
NFI = (χ2 null – χ2 proposed) / χ2 null = (χ2 Mo – χ2 Mn) / χ2 Mo
Mo : Mô hình gốc; Mn : Mô hình phù hợp
Giá trị đề nghị NFI > 0.9 [Hair et al, 1998] & [Chin & Todd, 1995]
iv) Mức xác suất :
Giá trị > .05 được xem là mô hình phù hợp tốt.[Arbuckle và Wothke, 1999; Rupp và Segal, 1989]. Điều này có nghĩa rằng không thể bác bỏ giả thuyết H0 (là giả thuyết mô hình tốt), tức là không tìm kiếm được mô hình nào tốt hơn mô hình hiện tại)
Ngoài ra các quan hệ riêng lẻ cũng được đánh giá tốt dựa trên các mức ý nghĩa thống kê. Tác động của các biến ngoại sinh lên các biến nội sinh và tác động của các biến nội sinh lên các biến nội sinh được đánh giá qua các hệ số hồi quy. Mối quan hệ giữa các biến được biểu thị bằng mũi tên trên mô hình. Chiều mũi tên biểu diễn chiều tác động của biến này lên biến kia. Ứng với một mối quan hệ ta có một giả thuyết tương ứng (như đã trình bày ở phần đầu chương này về các giả thuyết và mô hình nghiên cứu). Trong các nghiên cứu thuộc lĩnh vực khoa học xã hội, tất cả các mối quan hệ nhân quả đề nghị có độ tin cậy ở mức 95% (p = .05)[Cohen,1988]
3) Chỉ số điều chỉnh mô hình (MI – Modification Indices)
Chỉ số điều chỉnh mô hình là chỉ số ước lượng sự thay đổi của χ2 ứng với mỗi trường hợp thêm vào một mối quan hệ khả dĩ (ứng với giảm một bậc tự do). Nếu MI chỉ ra rằng lượng giảm ∆ χ 2 >3.84 (ứng với giảm một bậc tự do), thì cho phép ta đề nghị một mối quan hệ làm tăng độ phù hợp của mô hình. .[Hair et al, 1998]. (xem lại phần 3 – Phân tích sơ đồ đường, so sánh thay đổi χ2 giữa mô hình M1 & M2). Điều này cũng tương tự như đưa từng biến độc lập vào trong mô hình hồi quy tuyến tính. Tuy vậy nhà nghiên cứu nên thận trọng bởi vì mối quan hệ thêm vào mô hình chỉ được xem xét khi nó ủng hộ lý thuyết và không nên cố gắng mọi cách để cải thiện các chỉ số nhằm làm cho mô hình phù hợp hơn [Bullock et al, 1994; Hair et al, 1998].Các chỉ số phù hợp tốt chỉ ra rằng dữ liệu ủng hộ mô hình đề nghị, nhưng chúng không có nghĩa rằng mô hình lựa chọn là chính xác hay là mô hình tốt nhất trong số các mô hình khả thi về mặt lý thuyết. Như vậy sẽ tồn tại một số mô hình với mức độ điều chỉnh độ phù hợp khác nhau, tuỳ theo quan điểm nhà nghiên cứu. Các mô hình này được gọi là các mô hình cạnh tranh.
4) Kiểm tra ước lượng mô hình bằng phương pháp Boostrap
Mô hình cuối cùng cũng như các mô hình phù hợp khác cần thiết phải có bộ dữ liệu độc lập với nhau, hay cỡ mẫu ban đầu khá lớn. Trong phương pháp nghiên cứu định lượng bằng phương pháp lấy mẫu, thông thường chúng ta phải chia mẫu thành 02 mẫu con. Mẫu con thứ nhất dùng để ước lượng các tham số mô hình và mẫu con thứ hai dùng để đánh giá lại:
Cách khác là lặp lại nghiên cứu bằng một mẫu khác. Hai cách trên đây thường không thực tế vì phương pháp phân tích mô hình cấu trúc thường đòi hỏi mẫu lớn nên việc làm này tốn kém nhiều thời gian, chi phí [Anderson & Gerbing 1998]. Trong những trường hợp như vậy thì Boostrap là phương pháp phù hợp để thay thế[Schumacker & Lomax 1996]. Boostrap la phương pháp lấy mẫu lại có thay thế trong đó mẫu ban đầu đóng vai trò đám đông.
Phương pháp Boostrap thực hiện với số mẫu lặp lại là N lần. Kết quả ước lượng từ N mẫu được tính trung bình và giá trị này có xu hướng gần đến ước lượng của tổng thể. Khoảng chênh lệch giữa giá trị trung bình ước lượng bằng Boostrap và ước lượng mô hình với mẫu ban đầu càng nhỏ cho phép kết luận các ước lượng mô hình có thể tin cậy được.
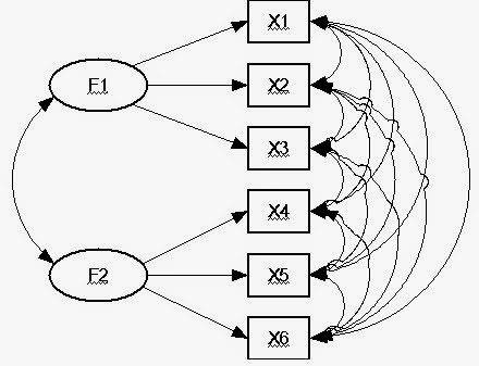
- PHÂN TÍCH NHÂN TỐ KHÁM PHÁ (EFA) VÀ KHẲNG ĐỊNH (CFA)

Số lượng các nhân tố cơ sở tùy thuộc vào mô hình nghiên cứu, trong đó chúng ràng buộc nhau bằng cách xoay các vector trực giao nhau để không xảy ra hiện tượng tương quan. Phân tích nhân tố khám phá EFA rất hữu dụng trong bước thực nghiệm ban đầu hay mở rộng kiểm định.
6.2 Phân tích nhân tố khẳng định (CFA): sử dụng thích hợp khi nhà nghiên cứu có sẵn một số kiến thức về cấu trúc biến tiềm ẩn cơ sở. Trong đó mối quan hệ hay giả thuyết (có được từ lý thuyết hay thực nghiệm) giữa biến quan sát và nhân tố cơ sở thì được các nhà nghiên cứu mặc nhiên thừa nhận trước khi tiến hành kiểm định thống kê. Như vậy CFA là bước tiếp theo của EFA nhằm kiểm định xem có một mô hình lý thuyết có trước làm nền tảng cho một tập hợp các quan sát không. CFA cũng là một dạng của SEM. Khi xây dựng CFA, các biến quan sát cũng là các biến chỉ báo trong mô hình đo lường, bởi vì chúng cùng ” tải” lên khái niệm lý thuyết cơ sở.
Phương pháp phân tích nhân tố khẳng định CFA chấp nhận các giả thuyết của các nhà nghiên cứu, được xác định căn cứ theo quan hệ giữa mỗi biến và một hay nhiều hơn một nhân tố. Sau đây là một mô hình SEM sử dụng kỹ thuật phân tích CFA:
Hình 13: Mô hình đo lường và mô hình cấu trúc của SEM

X1 = λ11 ξ1 + δ1
X2 = λ22 ξ2 + δ2
X3 = λ31 ξ1 + λ32 ξ2 + δ3,
(ξi là các nhân tố chung, Xi là các nhân tố xác định)
Trong đó: λ là các hệ số tải, các nhân tố chung ξ i có thể có tương quan với nhau, các nhân tố xác định Xi cũng có thể tương quan với nhau. Phương sai của một nhân tố xác định là duy nhất.
Phương trình biểu diễn mô hình một cách tổng quát dạng ma trận của x như sau:
x = Λx ξ +δ
Cov(x, ξ) = Σ = E(xx’) = E [(Λx ξ +δ)(Λx ξ +δ)’] = E[(Λx ξ +δ)(Λ’x ξ ‘+δ’)]
= Λx E(ξξ’)Λx’ + ΛxE(ξδ’)Λx’ + E(δ’δ’)
Đặt: Σ = E(xx’); Φ = E(ξξ’); Θ = E(δδ’)
Với x’; Λx’; ξ ‘; δ’ lần lượt là ma trận chuyển vị của ma trận x; Λx; ξ ;δ.
Cuối cùng phương trình Covariance được viết gọn như sau:
Σx = Λx Φξ Λ’x + Θx
Tương tự đối với phương trình dạng ma trận của y và ma trận Covariance:
y = Λyη + ε
Σy = Λy Φη Λ’y + Θy
- MA TRẬN CẤU TRÚC CỦA MÔ HÌNH MẠNG (CSM) (hình 14)
Mục đích của ma trận VAR và COV trong SEM dùng để xác định các mối quan hệ giữa các phần tử trong mô hình bằng cách ước lượng ma trận tương quan kỳ vọng (tổng thể), so sánh với ma trận tương quan của dữ liệu quan sát (mẫu) thông qua kiểm định Chi square. Sự khác biệt giữa tương quan “ước lượng” và tương quan “quan sát” của hai ma trận này thể hiện trong sự thay đổi giá trị Chi square, nó chỉ ra mức độ phù hợp của mô hình với dữ liệu như thế nào (Chi square không có ý nghĩa (p > 0.05) biểu thị một sự phù hợp tốt). Kiểm định Chi square bao gồm cả tương quan của biến quan sát và tương quan kỳ vọng
Hình 14: Mô hình cấu trúc hiệp phương sai

(CSM- Covariance Structural Modeling)
SEM giả định các thành phần sai số ngẫu nhiên trong mô hình có phân phối chuẩn đa biến ( biểu diễn bằng hình ellipse). Với giả định này cho phép dùng phương pháp ML ( Maximum Likelihood) để ước lượng các hệ số trong mô hình. Trong trường hợp các điều kiện ước lượng ML không thỏa mãn, như các biến phân loại (categorical) chẳng hạn thì phải sử dụng phương pháp ước lượng LS. Tất cả các phương pháp ước lượng trong SEM đều đòi hỏi kích thước mẫu lớn.
Ngoài ra các thành phần ngẫu nhiên trong SEM cũng đòi hỏi sai số đo lường của x (hay của y), tức là δ (hay ε) không tương quan với các biến tiềm ẩn độc lập ξ (hay phụ thuộc η). Đồng thời sai số phương trình trong mô hình cấu trúc giữa các biến tiềm ẩn độc lập và tiềm ẩn phụ thuộc thì không tương quan với các sai số đo lường của các biến chỉ báo quan sát ( x và y), tức là ζ không được tương quan với δ (hay ε).
- SƠ ĐỒ ĐƯỜNG (Path Diagram)
Khái niệm biến ngoại sinh ξ trong mô hình còn gọi là biến nguồn hay biến độc lập vì nó không chịu tác động của biến dự báo hay biến nào khác trong mô hình. Khái niệm biến nội sinh η được dự báo bởi một hay nhiều khái niệm khác.
- PHÂN TÍCH SƠ ĐỒ ĐƯỜNG (Path Analysis)
Phương trình cấu trúc :

Trong phân tích sơ đồ đường các phần tử biến có quan hệ ảnh hưởng trực tiếp và gián tiếp nhau. Trong sơ đồ nhân quả trên ta có:
Ảnh hưởng trực tiếp :
X3 gồm ảnh hưởng của X1 và X2,
X4 gồm ảnh hưởng của X2 và X3,
X5 chỉ ảnh hưởng trực tiếp bởi X2
Y gồm ảnh hưởng của X4 và X5
Ảnh hưởng gián tiếp:
Là ảnh hưởng của một biến thông qua một biến khác, ví dụ:
X1 ảnh hưởng lên X4 thông qua X3
X1 ảnh hưởng lên Y một cách gián tiếp thông qua X3 và X4.
Ảnh hưởng giữa các biến biểu thị bằng các hệ số tương quan. Toàn bộ các ảnh hưởng giữa các biến trong mô hình SEM tạo nên ma trận tương quan cấu trúc:
r13 = p31 ; r23 = p32 ; r14 =p43 . p31
r24 =p43. p32 + p42; r25 = p52
ry = py4.p42 + py4 . p43. p32 + py5.p52
Quy tắc: Tương quan cấu trúc giữa hai biến thì bằng tổng các tác động trực tiếp và gián tiếp có khả năng xảy ra.
Giả sử có ma trận tương quan của các biến quan sát X1, X2 và X3 như sau:
X1 X2 X3
X1 1.0 r12 r13
X2 1.0 r23
X3 1.0
Giả thiết một mô hình cấu trúc (M1) dùng để kiểm định là :

Mô hình này được biểu diễn bằng các phương trình sau
ŕ12 = p21 (p: hệ số hồi quy riêng phần chuẩn hóa)
ŕ13 = p31 +p32. p21 (ảnh hưởng trực tiếp của X1 lên X3 cộng với ảnh hưởng gián tiếp qua X2)
ŕ23 = p32 + p31. p21 (ảnh hưởng trực tiếp của X2 lên X3 cộng với ảnh hưởng của X1 lên X3 và X2)
ŕij biểu diễn tương quan “tái cấu trúc” hay tương quan “ước lượng” trên cơ sở mô hình lý thuyết trên đây. Hệ số hồi quy có thể ước lượng bằng phương pháp hồi quy đa biến trên cơ sở mô hình đã cho và có thể dùng để “tái cấu trúc lại” ma trận tương quan.
- Tương quan của các quan sát bằng dữ liệu:
X1 1.0 r 12(o) r13(o)
X2 1.0 r23(o)
X3 1.0
- Tương quan tái cấu trúc trên cơ sở mô hình sơ đồ đường:
X1 1.0 ŕ12 (e) ŕ13(e)
X2 1.0 ŕ23(e)
X3 1.0
So sánh các phần tử của hai ma trận tương quan này càng giống nhau thì giá trị Chi square càng nhỏ.
Lưu ý rằng mỗi mô hình thay thế có một tập tương quan kỳ vọng khác nhau làm cho mô hình tốt hơn hoặc xấu đi. Giả sử mô hình lý thuyết ở trên bây giờ là (M2)

Hầu hết các mô hình nhân quả đều tiến hành so sánh để chọn ra mô hình phù hợp nhất. Mỗi mô hình có một giá trị Chi square ứng với số bậc tự do nhất định. Hai mô hình M1 và M2 giống nhau nhưng M2 bỏ đi mối quan hệ X1 và X2. Ý nghĩa của sự tăng /giảm độ phù hợp trong trường hợp này là :với df = df1 – df2 (hay còn xác định bằng chỉ số sự thay đổi của Chi square trên một bậc tự do)
Mỗi đường biểu diễn một quan hệ giữa hai biến thì tương ứng với một giả thuyết nghiên cứu, không được kiểm định để xác định hướng. Phân tích nhân quả là phân tích các tập hợp con của mô hình SEM như hình dưới đây:
Hình 15: Mô hình đo lường con và sự kết hợp của chúng trong mô hình cấu trúc của SEM

Phân tích nhân quả chỉ đề cập đến các biến đo lường, là sự mở rộng của hồi quy, có tính đồng thời và dùng độ đo tổng hợp.
Phân tích nhân quả là kỹ thuật xác định quan hệ trực tiếp và gián tiếp giữa các biến số, là các liên kết giả thuyết giữa các biến ngoại sinh và biến nội sinh, là hiệu ứng trực tiếp hay chính là hệ số hồi quy. Liên kết gián tiếp (hay hiệu ứng gián tiếp) qua biến trung gian bằng tích của hai hay nhiều hệ số hồi quy. Hệ số nhân quả bằng hệ số tương quan hay hồi quy (thường chuẩn hoá) liên kết các biến số.Nếu chỉ có một liên kết giữa hai biến số, hệ số nhân quả bằng hệ số tương quan. Ý nghĩa của hệ số nhân quả chính là tỷ số giới hạn CR = β/SEβ = Z-Statistic; CR > 1.96 để có ý nghĩa tại p=0.05 hay CR = 2.5 tại mức ý nghĩa 0.01.
Phần thứ 5 gồm: Kiểm tra độ tin cậy của thang đo ,Mức độ phù hợp của tổng thể mô hình,Kiểm định Chi-Square (χ2),Tỷ số Chi-Square/bậc tự do: χ2 / df ,GFI, AGFI, CFI, NFI , Chỉ số điều chỉnh mô hình (MI – Modification Indices), Kiểm tra ước lượng mô hình bằng phương pháp Boostrap , các công cụ AMOS, LISREL, EQS, MPLUS…
- TÓM TẮT CÁC BƯỚC THỐNG KÊ TRONG SEM
– Bằng hệ số Cronbach’s Alpha.[Hair et al, 1998, Segar, 1997]
– Ước lượng các hệ số hồi quy và tvalue
– Phân tích nhân tố khẳng định (CFA): thực hiện trên mô hình đo lường để loại các biến có hệ số tải nhân tố tiềm ẩn thấp. Có thể thực hiện kiểm định CFA trên từng mô hình con (Sub Model) trước khi kiểm định mô hình tổng thể (tập hợp các mô hình con để kiểm định đồng thời).
– Thống kê SMC ( Square Multiple Correlation) cho mỗi khái niệm tiềm ẩn ngoại sinh (kết quả phân tích CFA của mô hình đo lường nêu trên), tương tự hệ số R2 trong hồi quy tuyến tính, SMC là phương sai giải thích của mỗi khái niệm tiềm ẩn [Bollen, 1989]
2) Mức độ phù hợp của tổng thể mô hình
Bản chất của mô hình SEM là đòi hỏi các nhà nghiên cứu trước hết thực hiện khai báo các giá trị xuất phát ban đầu được gọi là mô hình giả thiết. Từ mô hình giả thiết, thông qua một chuỗi vòng lặp các chỉ số biến đổi để cuối cùng cung cấp cho nhà nghiên cứu một mô hình xác lập, có khả năng giải thích tối đa sự phù hợp giữa mô hình với bộ dữ liệu thu thập thực tế.
Sự phù hợp của toàn bộ mô hình trên thực tế được đánh giá thông qua các tiêu chí về mức độ phù hợp như sau:
i) Kiểm định Chi-Square (χ2) :
Biểu thị mức độ phù hợp tổng quát của toàn bộ mô hình tại mức ý nghĩa p-value = 0.05 [Joserkog & Sorbom, 1989]. Điều này thực tế rất khó xảy ra bởi vì χ2 rất nhạy với kích thước mẫu lớn và độ mạnh của kiểm định, nên thực tế người ta dùng chỉ số χ2 /df để đánh giá,
ii) Tỷ số Chi-Square/bậc tự do: χ2 / df
Cũng dùng để đo mức độ phù hợp một cách chi tiết hơn của cả mô hình. Một số tác giả đề nghị 1 < χ2/df < 3 [Hair et al, 1998]; một số khác đề nghị χ2 càng nhỏ càng tốt [Segar, Grover, 1993] và cho rằng χ2/df < 3:1 [Chin & Todd, 1995] Ngoài ra, trong một số nghiên cứu thực tế người ta phân biệt ra 2 trường hợp : χ2/df < 5(với mẫu N > 200) ; hay < 3 (khi cỡ mẫu N < 200) thì mô hình được xem là phù hợp tốt [Kettinger và Lee,1995].
iii) Các chỉ số liên quan khác:
GFI, AGFI, CFI, NFI, ….. có giá trị > 0.9 được xem là mô hình phù hợp tốt. Nếu các giá trị này bằng 1, ta nói mô hình là hoàn hảo. [Segar, Grover, 1993] & [Chin & Todd, 1995]
GFI: đo độ phù hợp tuyệt đối (không điều chỉnh bậc tự do) của mô hình cấu trúc và mô hình đo lường với bộ dữ liệu khảo sát.
AGFI: Điều chỉnh giá trị GFI theo bậc tự do trong mô hình.
RMR: Một mặt đánh giá phương sai phần dư của biến quan sát, mặt khác đánh giá tương quan phần dư của một biến quan sát này với tương quan phần dư của một biến quan sát khác.. Giá trị RMR càng lớn nghĩa là phương sai phần dư càng cao, nó phản ánh một mô hình có độ phù hợp không tốt.
RMSEA : là một chỉ tiêu quan trọng, nó xác định mức độ phù hợp của mô hình so với tổng thể.
Trong tạp chí nghiên cứu IS, các tác giả cho rằng chỉ số RMSEA, RMR yêu cầu < 0.05 thì mô hình phù hợp tốt. Trong một số trường hợp giá trị này < 0.08 mô hình được chấp nhận. [Taylor, Sharland, Cronin và Bullard, 1993].
NFI: đo sự khác biệt phân bố chuẩn của χ2 giữa mô hình độc lập (đơn nhân tố, có các hệ số bằng 0) với phép đo phương sai và mô hình đa nhân tố.
NFI = (χ2 null – χ2 proposed) / χ2 null = (χ2 Mo – χ2 Mn) / χ2 Mo
Mo : Mô hình gốc; Mn : Mô hình phù hợp
Giá trị đề nghị NFI > 0.9 [Hair et al, 1998] & [Chin & Todd, 1995]
iv) Mức xác suất :
Giá trị > .05 được xem là mô hình phù hợp tốt.[Arbuckle và Wothke, 1999; Rupp và Segal, 1989]. Điều này có nghĩa rằng không thể bác bỏ giả thuyết H0 (là giả thuyết mô hình tốt), tức là không tìm kiếm được mô hình nào tốt hơn mô hình hiện tại)
Ngoài ra các quan hệ riêng lẻ cũng được đánh giá tốt dựa trên các mức ý nghĩa thống kê. Tác động của các biến ngoại sinh lên các biến nội sinh và tác động của các biến nội sinh lên các biến nội sinh được đánh giá qua các hệ số hồi quy. Mối quan hệ giữa các biến được biểu thị bằng mũi tên trên mô hình. Chiều mũi tên biểu diễn chiều tác động của biến này lên biến kia. Ứng với một mối quan hệ ta có một giả thuyết tương ứng (như đã trình bày ở phần đầu chương này về các giả thuyết và mô hình nghiên cứu). Trong các nghiên cứu thuộc lĩnh vực khoa học xã hội, tất cả các mối quan hệ nhân quả đề nghị có độ tin cậy ở mức 95% (p = .05)[Cohen,1988]
3) Chỉ số điều chỉnh mô hình (MI – Modification Indices)
Chỉ số điều chỉnh mô hình là chỉ số ước lượng sự thay đổi của χ2 ứng với mỗi trường hợp thêm vào một mối quan hệ khả dĩ (ứng với giảm một bậc tự do). Nếu MI chỉ ra rằng lượng giảm ∆ χ 2 >3.84 (ứng với giảm một bậc tự do), thì cho phép ta đề nghị một mối quan hệ làm tăng độ phù hợp của mô hình. .[Hair et al, 1998]. (xem lại phần 3 – Phân tích sơ đồ đường, so sánh thay đổi χ2 giữa mô hình M1 & M2). Điều này cũng tương tự như đưa từng biến độc lập vào trong mô hình hồi quy tuyến tính. Tuy vậy nhà nghiên cứu nên thận trọng bởi vì mối quan hệ thêm vào mô hình chỉ được xem xét khi nó ủng hộ lý thuyết và không nên cố gắng mọi cách để cải thiện các chỉ số nhằm làm cho mô hình phù hợp hơn [Bullock et al, 1994; Hair et al, 1998].Các chỉ số phù hợp tốt chỉ ra rằng dữ liệu ủng hộ mô hình đề nghị, nhưng chúng không có nghĩa rằng mô hình lựa chọn là chính xác hay là mô hình tốt nhất trong số các mô hình khả thi về mặt lý thuyết. Như vậy sẽ tồn tại một số mô hình với mức độ điều chỉnh độ phù hợp khác nhau, tuỳ theo quan điểm nhà nghiên cứu. Các mô hình này được gọi là các mô hình cạnh tranh.
4) Kiểm tra ước lượng mô hình bằng phương pháp Boostrap
Mô hình cuối cùng cũng như các mô hình phù hợp khác cần thiết phải có bộ dữ liệu độc lập với nhau, hay cỡ mẫu ban đầu khá lớn. Trong phương pháp nghiên cứu định lượng bằng phương pháp lấy mẫu, thông thường chúng ta phải chia mẫu thành 02 mẫu con. Mẫu con thứ nhất dùng để ước lượng các tham số mô hình và mẫu con thứ hai dùng để đánh giá lại:
- Định cỡ mẫu con thứ nhất dùng để khám phá,
- Dùng cỡ mẫu con thứ hai để đánh giá chéo (Cross-Validation)
Cách khác là lặp lại nghiên cứu bằng một mẫu khác. Hai cách trên đây thường không thực tế vì phương pháp phân tích mô hình cấu trúc thường đòi hỏi mẫu lớn nên việc làm này tốn kém nhiều thời gian, chi phí [Anderson & Gerbing 1998]. Trong những trường hợp như vậy thì Boostrap là phương pháp phù hợp để thay thế[Schumacker & Lomax 1996]. Boostrap la phương pháp lấy mẫu lại có thay thế trong đó mẫu ban đầu đóng vai trò đám đông.
Phương pháp Boostrap thực hiện với số mẫu lặp lại là N lần. Kết quả ước lượng từ N mẫu được tính trung bình và giá trị này có xu hướng gần đến ước lượng của tổng thể. Khoảng chênh lệch giữa giá trị trung bình ước lượng bằng Boostrap và ước lượng mô hình với mẫu ban đầu càng nhỏ cho phép kết luận các ước lượng mô hình có thể tin cậy được.
- CÔNG CỤ THỐNG KÊ ỨNG DỤNG TRONG SEM
Trung tâm Hỗ trợ nghiên cứu
Xin vui lòng chú ý một số điều sau
- Các bạn có thể bình luận với tài khoản Google, tài khoản tùy chọn (tên, địa chỉ) hoặc ẩn danh
- Nếu thực sự quan tâm một chủ đề nào đó, khi bình luận xong hãy nhân vào nút "Thông báo cho tôi" ở góc dưới. Khi đó nếu có các bình luận và thảo luận mới về chủ đề này sẽ có thông báo gửi đến email của bạn
- Nếu cần hỗ trợ, hãy để lại số điện thoại. Nên chủ động gửi tài lệu về Hỗ Trợ Nghiên Cứu
- Các bình luận spam, có lời lẽ không phù hợp sẽ bị chặn








0 nhận xét:
Đăng nhận xét